1-3 Functions 초월함수
Transcendental Functions
Exponential Functions(지수 함수)
$$y = a^x$$
변수가 지수인 함수!
Logarithmic Functions(로그 함수)
$$y = log_a(x)$$
$$y = 2^x \ <==> \ y = log_2(x)(상호 \ 역함수) $$
CF) 역함수는 그래프 상에서 y = x 대칭이다!
Trigonometric Functions(삼각 함수)
$$y = sin(x) \\ y = cos(x) \\ y = tan(x)$$
삼각함수는 동경의 크기에 따라 변화하는 함수입니다.
동경위의 점과 원점, x축에 내린 발이 직각삼각형을 이루기 때문에 삼각함수라고 부릅니다.


위 그림에서 각의 크기가 θ인 동경 OX는 점 X(x,y)를 지납니다.
선분 OX의 길이를 r이라고 약속하면,
다음과 같은 삼각함수를 가집니다.

cf)

Cf) 추가적인 개념
코시컨트(csc), 시컨트(sec), 코탄젠트(cot)
$$\csc(a)=\frac{1}{\sin(a)},\ \sec(a)=\frac{1}{\cos(a)},\ \cot(a)=\frac{1}{\tan(a)}$$
Hyperbolic Functions(쌍곡선 함수)

쌍곡선 함수는 각각 exp함수 (=밑이 e인 지수함수) 의 합, 차를 2로 나눈 값으로 정의된다.
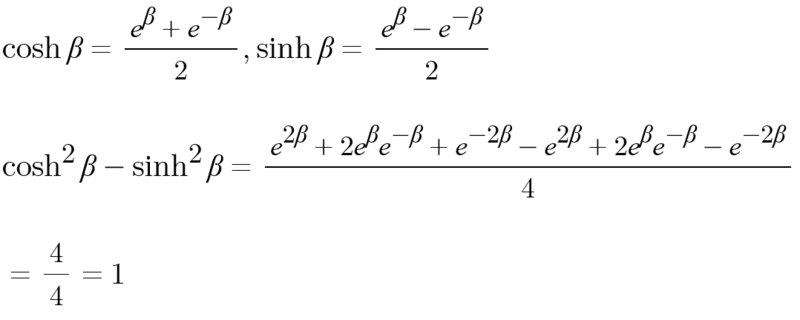
쌍곡선 함수는 다음이 성립

x= cosh β, y=sinh β 로 취급하여 그래프를 그린다면?
쌍곡함수의 그래프가 그려진다.

'Statistics and Math' 카테고리의 다른 글
| CH01_10. 선형함수 (0) | 2022.09.27 |
|---|---|
| CH01_09 함수의 변형 (0) | 2022.09.27 |
| CH01_07. 대수함수 (0) | 2022.09.26 |
| CH01_06. 함수 (0) | 2022.09.26 |
| CH01_05. 파티션 (0) | 2022.09.26 |